Описание линейного диффузора с видимой рамкой ЛЩРВ
Встраиваемые диффузоры серии ЛЩР, как и другие щелевые решетки, применяются в приточно-вытяжной вентиляции и любых системах кондиционирования воздуха. Могут быть самостоятельным изделием в виде одиночной секции или ее составной частью.
В зависимости от внутренней конструкции встраиваемые щелевые диффузоры делятся на 6 видов:
- ЛЩР3
- ЛЩР2
- ЛЩР1
- ЛЩРВ
- ЛЩР
- ЛЩР-ПЗ
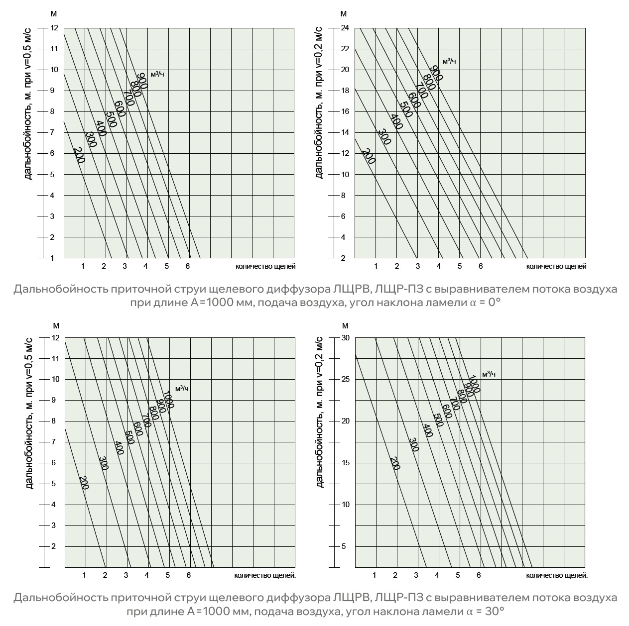
Возможное количество щелей от 1 до 10.
Отличительным признаком встраиваемых решеток серии ЛЩР является то, что после монтажа рамка решетки остается видимой, закрывая проем.
Материалы изготовления
- Решетки изготавливаются из экструдированного алюминиевого профиля АДЗ1 по ГОСТ 22233-2018
- По умолчанию корпус диффузоров окрашивается в стандартный белый цвет RAL 9016, а внутренняя конструкция (перфорированная кассета, клапан расхода воздуха, ламели) в черный цвет RAL 9005.
По индивидуальному заказу возможна окраска в любой цвет по шкале RAL как корпуса, так и внутренней части
Минимальные рекомендуемые размеры 150х50 мм
Максимальные рекомендуемые размеры 3000х240 мм
Кроме стандартных типоразмеров возможны индивидуальные – по размерам заказчика с шагом 1 мм.
Камера статического давления
Для подключения к системе воздуховодов диффузоры комплектуются камерой статического давления – КСД или КСР.
Камера статического давления является элементом систем вентиляции и кондиционирования воздуха, они обеспечивают равномерное распределение воздушных масс через сечение решетки. КСД состоит из стального корпуса с круглым патрубком для подсоединения к воздуховоду. КСР дополнительно оснащены устройством, регулирующим объем подаваемого воздуха, которое устанавливается во входном патрубке.
Материалы изготовления
- Статическая камера изготавливается из оцинкованной листовой стали 0,4-1,5 мм в зависимости от размера и пожелания заказчика
- По умолчанию все изделия поставляются в неокрашенном виде
Типы КСД
- КСД – стандартная камера с круглой врезкой
- КСД-У – уменьшенная камера с круглой врезкой
- КСД-У-О – уменьшенная камера с овальной врезкой
- УСД-У-П – уменьшенная камера с прямоугольной врезкой
Камеры статического давления с овальной и прямоугольной врезками позволяют уменьшить монтажное пространство и тем самым максимально сохранить полезную площадь помещения.
Размер монтажного пространства (W) напрямую зависит от размера подключаемого воздуховода – чем меньше воздуховод, тем меньше адаптер для диффузора. В каталоге приведены рекомендуемые размеры воздуховода, но по запросу заказчика возможно изготовить адаптер с любой врезкой.
Монтаж
Монтаж решетки производится после финишной отделки потолка. С помощью винтового соединения решетка устанавливается к закладным деталям в КСД через подвижные крепежные элементы на тыльной стороне решетки.
В случае монтажа непрерывной конструкции необходимо устанавливать в места соединения выравнивающие пластины-коннекторы (поставляются в комплекте с составными секциями). Коннекторы крепятся с помощью заклепок 4х6.
Чтобы верно определить посадочный размер, необходимо воспользоваться расчетом по чертежам определенного типа решетки в данном каталоге.
Габаритно-посадочные размеры диффузоров серии ЛЩР с КСД стандартной конфигурации
А – ширина строительного проема,
В – посадочный размер диффузора по высоте
Габаритно-посадочные размеры диффузоров серии ЛЩР с уменьшенной камерой КСД-У с круглой врезкой
А – ширина строительного проема,
В – посадочный размер диффузора по высоте
Габаритно-посадочные размеры диффузоров серии ЛЩР с уменьшенной камерой КСД-У-О с овальной врезкой
А – ширина строительного проема,
В – посадочный размер диффузора по высоте
Габаритно-посадочные размеры диффузоров серии ЛЩР уменьшенной камерой КСД-У с прямоугольной врезкой
А – ширина строительного проема,
В – посадочный размер диффузора по высоте
Пример заказа
Производитель имеет право без предварительного уведомления вносить в изделие изменения, которые не ухудшают его технические характеристики, а являются результатом работ по усовершенствованию его конструкции или технологии производства.
Пример заказа КСД к диффузору
При заказе диффузора с камерой статического давления определяющими размерами являются размеры диффузора, поэтому в примере заказа не указываются. По требованию возможно изготовление КСД по чертежам заказчика.






















